Statistique et analyse de données pour vos projets de recherche

Conseil méthodologique, analyses statistiques et formations personnalisées pour la recherche et la R&D

J’accompagne les équipes de recherche académique, de R&D en entreprise et les institutions publiques dans leurs projets d’analyse statistique des données.
Mes interventions couvrent le conseil statistique, la conduite de projets et la formation personnalisée, avec une approche rigoureuse, pédagogique et adaptée à vos contraintes scientifiques.

Mes logiciels de prédilection : R, XLSTAT, JASP et bien d'autres.

Barplot, boxplot, scattergram et violin plot

Conseil et accompagnement méthodologique en statistique

Une expertise statistique adaptée à vos métiers et à vos données

Je propose un accompagnement statistique et un conseil méthodologique pour sécuriser vos choix d’analyse, de la conception des protocoles à l’interprétation des résultats.
Fort d’une longue expérience en statistique appliquée, j’adapte mon approche et mon langage aux contextes métiers : sensométrie, écologie, agro-alimentaire, biostatistique, marketing, recherche clinique, sciences sociales et bien d'autres.

J’interviens notamment sur le choix des méthodes statistiques, la validation des protocoles, la relecture critique de rapports ou d’articles, et l’accompagnement des équipes sur des projets nécessitant rigueur et clarté méthodologique.

Besoin d'un accompagnement statistique ?

Test de tendance de Mann-Kendall vs test de Pettitt

Conduite de projets d’analyse statistique

De la définition des objectifs à la restitution des résultats

Je vous accompagne dans la conduite de projets d’analyse statistique, en prenant en charge l’ensemble du processus : cadrage des besoins, analyse des données, interprétation et restitution des résultats.
Mon approche est structurée, pragmatique et adaptée à vos contraintes scientifiques, opérationnelles et calendaires.

J’interviens sur des projets menés en recherche académique, en R&D ou en institutions publiques, en lien avec des profils variés (chercheurs, ingénieurs, chargés d’étude, décideurs).
L’objectif est de produire des analyses statistiques fiables, compréhensibles et directement exploitables pour la prise de décision, la valorisation scientifique ou la communication des résultats.

Besoin de mon aide pour un projet statistique ?

Etude longitudinale modèle mixte

Formations statistiques personnalisées

Des formations sur mesure, adaptées à vos problématiques et à vos équipes

Je propose des formations statistiques personnalisées pour accompagner vos équipes dans la montée en compétences sur leurs propres données et problématiques.
Ces formations sont conçues sur mesure, en fonction de votre contexte métier, de vos objectifs et du niveau des participants.

Elles peuvent porter sur l’analyse statistique des données, l’utilisation des logiciels R, XLSTAT ou JASP, ainsi que sur l’interprétation des résultats et les bonnes pratiques méthodologiques.
J’interviens auprès d’équipes de recherche, de R&D et d’institutions publiques, avec une approche pédagogique, progressive et directement opérationnelle.

Besoin d'une formation statistique sur mesure ?

Études de cas en analyse statistique

Exemples d’accompagnements et de projets réalisés

Les exemples ci-dessous illustrent différents types de projets d’analyse statistique et d’accompagnement méthodologique que j’ai menés auprès d’équipes de recherche, de R&D et d’institutions publiques, dans des contextes métiers variés.

Cartographie des habitats de cétacés dans les Antilles françaises

Logo AGOA

Contexte
Projet mené en collaboration avec Office français de la biodiversité et le Sanctuaire Agoa, dans les Antilles françaises, une zone qui concentre près de 35 % des espèces de cétacés connues.
L’enjeu était de produire des connaissances opérationnelles dans un hotspot de biodiversité, au service des acteurs de la conservation.

Ce travail a été mené en collaboration avec Florèn Hugon de la société Biodivact.

Objectif
Comprendre et cartographier les habitats potentiels de 7 espèces de cétacés, afin de fournir des outils d’aide à la décision pour orienter les stratégies de conservation et de gestion spatiale à l’échelle régionale.

Données et méthodes
Le travail repose sur l’analyse de données d’observations géolocalisées de cétacés, combinées à des variables environnementales spatialisées (conditions océaniques, bathymétrie, etc.).
Chaque pixel de la zone d’étude correspond à une prédiction de présence potentielle, issue de modèles de Machine Learning supervisé (Species Distribution Models dans ce contexte précis), via le package biomod2 (R).

Deux défis méthodologiques majeurs ont été traités :

  • Utilisation de données de présence uniquement (absence d’observations négatives explicites),

  • Intégration de 9 jeux de données hétérogènes (transects avec effort, études scientifiques ponctuelles, observations opportunistes issues de la plaisance, etc.).

L’accompagnement a porté sur la structuration des données, le choix des approches de modélisation adaptées, la gestion des biais d’observation et l’interprétation écologique des résultats.

Résultats et valeur ajoutée
Les cartes produites permettent d’identifier des zones à fort enjeu pour les différentes espèces étudiées.
Elles constituent un outil directement exploitable par les gestionnaires locaux pour ajuster les mesures de protection, prioriser les actions et appuyer les décisions en matière d’aménagement et de conservation.

Lire l'article

Vidéo de présentation des résultats au laboratoire PELAGIS, La Rochelle

Automatisation des rapports COVID-19 à l’échelle nationale

Logo Santé Publique France

Contexte
Projet mené pour la société Dynacentrix, dans le cadre d’une mission auprès de Santé publique France, au sein de la cellule nationale de suivi de l’épidémie de COVID-19.
L’enjeu était de fiabiliser et d’automatiser la production quotidienne de rapports statistiques issus de nombreuses sources hétérogènes, dans un contexte de forte pression opérationnelle.

Objectif
Mettre en place une automatisation robuste de la production des rapports quotidiens, tout en laissant aux équipes métiers la possibilité d’ajouter de l’interprétation qualitative, et garantir la cohérence d’un bilan consolidé national.

Données, outils et méthode
Le projet a consisté à automatiser la production de rapports pour 9 équipes distinctes, chacune responsable d’un périmètre spécifique.
Parmi elles :

  • SI-DEP (dépistage),

  • SI-VIC (hospitalisations),

  • SURSAUD (urgences et soins non programmés).

Pour chaque équipe, des rapports R-Markdown ont été conçus ou adaptés afin de produire automatiquement des documents au format Word (.docx), à partir de données alimentées quotidiennement.
Les équipes conservaient la possibilité d’ajuster les documents finaux (commentaires, interprétation, éléments contextuels) directement sous Microsoft Word®.

Un script R dédié a ensuite été développé pour compiler automatiquement l’ensemble des rapports individuels en un Bilan Quotidien national, en s’appuyant sur le package {officer} — une bibliothèque R permettant de manipuler et assembler dynamiquement des documents Word.
Ce script gérait :

  • Les spécificités calendaires de chaque rapport (week-ends, jours fériés),

  • La vérification de l’actualisation de chaque document,

  • L’intégration conditionnelle des sections selon les règles de publication.

Résultats et valeur ajoutée
Le dispositif mis en place a permis :

  • Une standardisation et une fiabilisation de la production des rapports statistiques,

  • Un gain de temps significatif pour les équipes métiers,

  • Une meilleure traçabilité des données et des mises à jour,

  • Une consolidation fluide des informations à l’échelle nationale.

Au-delà de l’aspect technique, ce projet a représenté pour moi une contribution concrète, à mon échelle, à l’effort collectif de suivi et de gestion de la pandémie de COVID-19, en appui aux décisions de santé publique.

Lire l'article ici

Visualisation interactive de données de pollution de l’air issues de sciences participatives

Sorbonne Université

Contexte
Projet mené dans le cadre d’ExpoPed, une expérience de sciences participatives financée par Sorbonne Université.
L’objectif du projet est de mesurer l’exposition réelle aux polluants atmosphériques (PM2.5, PM10, O₃, NO₂) à partir de données collectées directement par les citoyens.

Une expérimentation a été conduite dans la ville d’Ivry-sur-Seine, auprès de piétons retraités équipés de capteurs mesurant la qualité de l’air en temps réel au cours de leurs déplacements quotidiens.

Objectif
Rendre les données issues de cette expérimentation accessibles, compréhensibles et exploitables, aussi bien pour les chercheurs que pour les citoyens et les acteurs locaux.

Intervention
J’ai développé en quelques jours une application interactive permettant :

  • De visualiser les mesures de pollution sur une carte dynamique,

  • De filtrer les données par polluant, seuils de concentration et paramètres spatio-temporels,

  • De télécharger les données filtrées, accompagnées de statistiques descriptives.

L’application a été conçue pour être intuitive, rapide à prendre en main et utilisable sans compétences techniques spécifiques.

Outils et approche
La plateforme repose sur R-Shiny, un framework permettant de transformer rapidement des bases de données en applications interactives de visualisation et d’analyse.
Cette approche permet de passer en peu de temps d’un jeu de données brut à un outil opérationnel, accessible au plus grand nombre.

Résultats et valeur ajoutée
L’application permet :

  • Une appropriation directe des données par les citoyens participants,

  • Une meilleure compréhension des variations locales de la pollution de l’air,

  • Un support concret pour la recherche et la sensibilisation aux enjeux environnementaux.

Ce projet illustre comment des outils statistiques et interactifs peuvent renforcer le lien entre science, données et société, et contribuer à éclairer les réflexions autour des politiques publiques de qualité de l’air.

🗺️ Application interactive

👉 Accéder à l’application ExpoPed : https://particitae.shinyapps.io/ExpoPed/

Modélisation avancée des performances d’épurateurs d’air en conditions réelles

Logo Airea
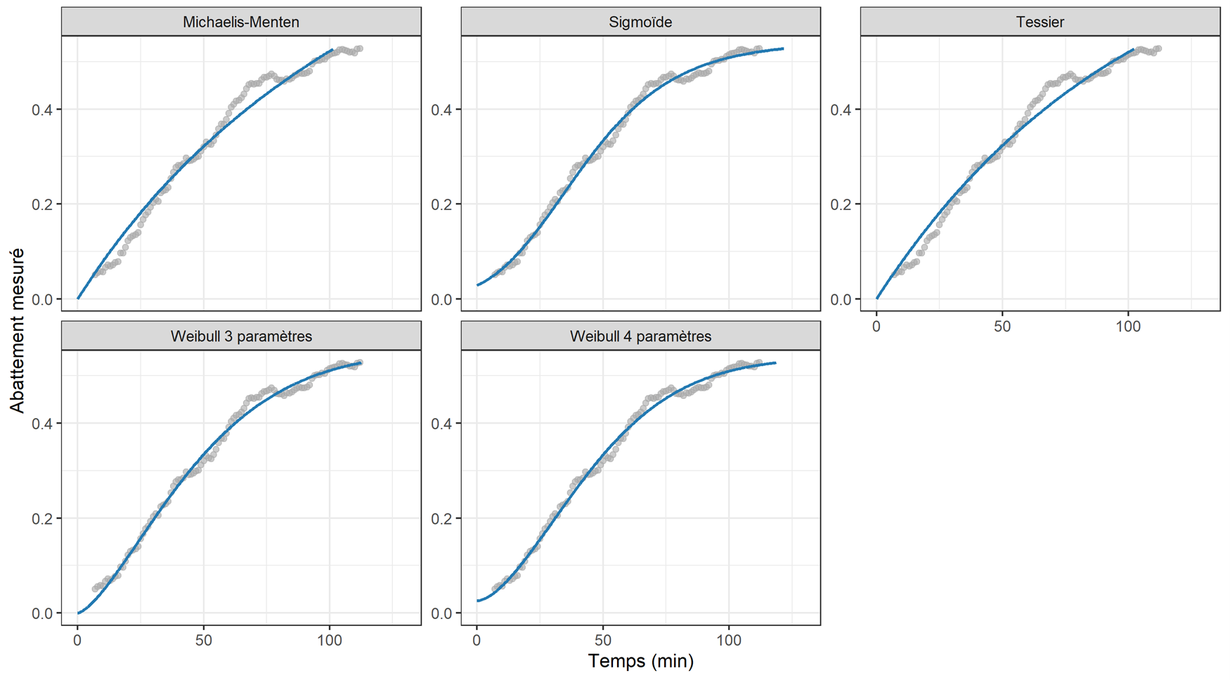
Cinétique d'abattement selon différents modèles

Contexte
Projet mené pour la société Airea pour le compte de Fimea/ADEME, visant à évaluer l’efficacité réelle d’épurateurs de l'air à partir de mesures in situ, en conditions d’occupation et environnementales variables.

Objectifs
Identifier les déterminants :

  • De la stabilité des cinétiques d’abattement des particules polluantes.

  • De la performance d’épuration (niveau et vitesse d’abattement),

Et estimer des paramètres d’efficacité sous différentes conditions expérimentales.

Méthodes statistiques
Pour répondre à ces questions complexes, plusieurs outils complémentaires ont été mobilisés :

  • Classification ascendante hiérarchique pour distinguer les cinétiques stables et instables.

  • Modèles mixtes généralisés pour analyser les effets des conditions expériementales et de l'environnement sur la stabilité des cinétiques.

  • Modèles de croissance non linéaires (Weibull, sigmoïdes, Michaelis–Menten) pour caractériser finement les dynamiques d’abattement (plateau, T50, etc.) des cinétiques stables.

  • Modèles linéaires mixtes pour analyser les effets des conditions expérimentales et de l'environnement sur la performance d'épuration.

Résultats et valeur ajoutée
Cette approche a permis de produire des estimations robustes et interprétables de la performance d’épuration, tout en tenant compte de la variabilité réelle des conditions d’usage.
Les résultats ont été synthétisés autour de modèles reconnus et adaptés à la prise de décision.

👉 Ci-dessous, Ajustement de différents modèles de croissance (en bleu) sur les données d’une cinétique d’abattement (gris)

Comment se déroule un accompagnement statistique ?

Une collaboration structurée et suivie, adaptée à vos contraintes et à vos objectifs

Chaque accompagnement est conçu sur mesure, en fonction de vos données, de votre contexte et de vos enjeux scientifiques ou opérationnels.
La démarche repose sur des échanges réguliers et une progression claire, du cadrage initial à la restitution finale.

1. Échange initial et cadrage du besoin
Un premier échange permet de clarifier les objectifs, les données disponibles, les contraintes (délais, outils, niveau d’autonomie attendu) et le type d’accompagnement le plus adapté : conseil, conduite de projet ou formation.

2. Proposition méthodologique
Je formule une proposition statistique argumentée, précisant les méthodes envisagées, les livrables attendus et le mode de collaboration. Cette étape vise à sécuriser les choix méthodologiques en amont.

3. Accompagnement et analyses
Selon les besoins, j’interviens sur l’analyse des données, l’interprétation des résultats, la relecture critique ou la montée en compétences des équipes.
Les échanges peuvent prendre la forme de réunions, de sessions de travail ou d’ateliers ciblés.

4. Restitution et transfert
Les résultats sont restitués de manière claire et exploitable (rapports, supports, scripts). Lorsque c’est pertinent, l’accompagnement inclut un transfert méthodologique afin de favoriser l’autonomie des équipes.

Quelques références clients

  • Recherche académique : Sorbonne Université, Université de Bordeaux, INRAE Jouy-en-Josas, CNRS Montpellier, CIRAD Montpellier, INRAE Nouzilly, Agroscope Sion, INSERM Nantes, Centre de l'Energie Atomique (Evry), NASA, Foundation for Cancer Research & Education, Université de Tarapacà (Chili), Institut Pasteur, Centre Hospitalier de Chartres, Airea...

  • Institutions publiques : Santé Publique France, Office Français de la Biodiversité, Bureau National Interprofessionnel du Cognac (BNIC), Institut Français du Vin, Banque de France.

  • Industrie alimentaire, parfums et arômes : Nestlé, Coca-Cola, Syngenta, Müller group, OLAM, Loacker, Sodebo, Givaudan, Symrise, Takasago, Mane, Lesaffre, Distell, Suntory, Gourmey, Food Innovation Center (Oregon State University), Lesieur, Laiterie de Rians, Laiterie de Montaigu, Cyroi...

  • Industrie : COLAS, ACB, Plastic Omnium...

  • Banque et Assurances : Crédit Agricole, Coface.

Publications scientifiques

J'ai eu l'occasion tout au long de ma carrière de contribuer à plusieurs travaux de recherche, qui m'ont valu une place de co-auteur sur 20+ articles peer-reviewed.

Discutons de votre projet statistique

Vous avez une question méthodologique, un jeu de données à analyser ou un projet statistique à cadrer ?
N’hésitez pas à me contacter pour échanger sur vos besoins et définir ensemble la forme d’accompagnement la plus adaptée.